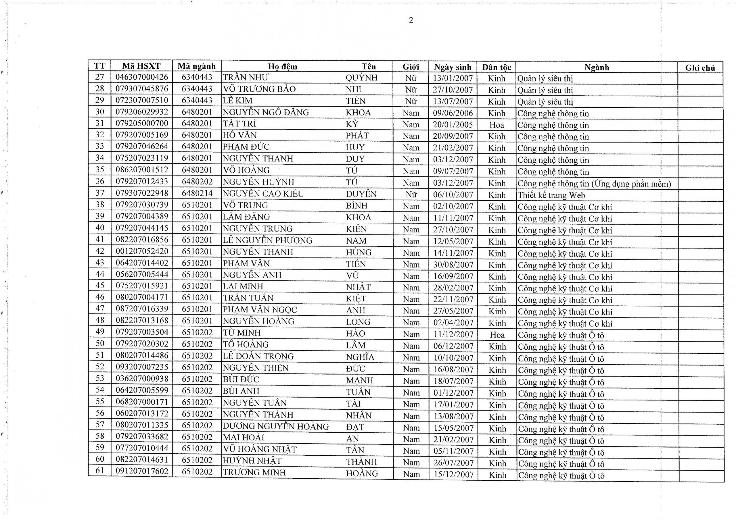
Quyết định công nhận thí sinh trúng tuyển Bậc Cao đẳng (hệ thống BGD) hệ chính quy – Khóa 18 (Đợt 1) năm học 2025 – 2026

Main Menu

Contact